HiDURPA Dataset
HIDURPA (High Defi-
nition Uncompressed Remote Photoplethysmography
Acquisition) is a high-definition raw video dataset designed for research in remote photoplethysmography (rPPG). The dataset includes recordings from 12 participants (4 female, 8 male), with five 30-second sessions per participant.
Recording setup
Participants were positioned approximately 1 meter in front of the camera and were instructed to stand still during acquisition. Video was captured using a Blackmagic Pocket Cinema Camera 4K and illuminated with two softboxes to ensure consistent lighting. The recordings were acquired via a Blackmagic DeckLink Mini Recorder 4K capture card in uncompressed YUV422 at 30 fps.
Ground truth measurements
To provide reliable reference signals for validation, the following ground truth data were recorded:
• ECG using a Polar H10
• BVP and SpO₂ waveforms using a VTM20F
Availability & access
The dataset will be released upon publication of the paper:
“A STUDY OF RESOLUTION-AWARE VIDEO COMPRESSION FOR REMOTE PHOTOPLETHYSMOGRAPHY”
Access is restricted to research groups and research institutions and requires a signed Data Usage Agreement (DUA).
Supplementary information
This section provides supplementary material to complement the paper, presenting the complete tabulated results and accompanying figures from our experiments on resolution- and compression-aware remote photoplethysmography (rPPG). The tables report rPPG performance (mean ± standard deviation) across different video codecs (H.264/AVC, H.265/HEVC, H.266/VVC, and AV1), quantization parameter (QP) settings, and spatial resolutions on the HiDURPA and UBFC1 datasets. The figures summarize rPPG performance (median ± interquartile range) across codecs, QP levels, spatial resolutions, and datasets.
TABLES – rPPG Performance (mean RMSE ± standard deviation) and video file sizes for multiple QPs and video codecs on HiDURPA and UBFC1 datasets:
HiDURPA dataset H.264
| QP | H.264 1080p | H.264 720p | H.264 480p | H.264 360p | ||||
|---|---|---|---|---|---|---|---|---|
| RMSE | size | RMSE | size | RMSE | size | RMSE | size | |
| 1 | 1.31 ± 0.81 | 535.47 | 1.34 ± 0.86 | 251.87 | 1.39 ± 1.02 | 113.33 | 1.36 ± 0.91 | 63.37 |
| 2 | 1.31 ± 0.84 | 466.27 | 1.34 ± 0.86 | 219.96 | 1.38 ± 0.97 | 98.46 | 1.40 ± 0.95 | 54.83 |
| 3 | 1.34 ± 0.89 | 399.73 | 1.38 ± 0.90 | 188.33 | 1.35 ± 0.93 | 83.41 | 1.44 ± 0.94 | 46.09 |
| 5 | 1.35 ± 0.89 | 269.4 | 1.35 ± 0.79 | 122.75 | 1.49 ± 0.92 | 51.33 | 1.78 ± 2.19 | 28.09 |
| 7 | 1.39 ± 0.89 | 160.72 | 1.47 ± 0.83 | 69.41 | 2.21 ± 4.76 | 29.13 | 2.83 ± 5.00 | 16.84 |
| 10 | 1.41 ± 0.78 | 71.84 | 1.64 ± 1.18 | 30.14 | 2.28 ± 3.36 | 14.08 | 3.45 ± 5.03 | 9.51 |
| 13 | 1.66 ± 1.27 | 33.84 | 2.58 ± 4.71 | 15.29 | 4.07 ± 6.65 | 8.9 | 6.70 ± 10.74 | 7.18 |
| 15 | 1.85 ± 2.17 | 24.04 | 2.10 ± 2.26 | 12.01 | 3.45 ± 6.43 | 7.85 | 4.78 ± 6.99 | 6.71 |
| 17 | 2.35 ± 3.12 | 14.96 | 3.88 ± 6.90 | 8.63 | 6.21 ± 9.81 | 6.68 | 9.39 ± 12.17 | 6.17 |
| 19 | 6.32 ± 10.23 | 10.18 | 9.28 ± 12.55 | 7.19 | 12.95 ± 14.31 | 6.22 | 16.74 ± 14.08 | 5.94 |
| 21 | 3.05 ± 5.03 | 9.04 | 5.07 ± 8.36 | 6.85 | 9.03 ± 11.79 | 6.09 | 13.85 ± 12.87 | 5.86 |
| 23 | 5.19 ± 9.17 | 7.69 | 8.73 ± 11.37 | 6.4 | 12.82 ± 13.13 | 5.92 | 18.39 ± 13.09 | 5.76 |
| 25 | 15.51 ± 14.08 | 6.89 | 19.52 ± 13.47 | 6.11 | 23.24 ± 12.05 | 5.8 | 24.51 ± 11.15 | 5.7 |
| 30 | 23.67 ± 11.79 | 6.17 | 25.56 ± 10.67 | 5.83 | 25.95 ± 10.28 | 5.68 | 26.37 ± 10.28 | 5.62 |
HiDURPA dataset H.265
| QP | H.265 1080p | H.265 720p | H.265 480p | H.265 360p | ||||
|---|---|---|---|---|---|---|---|---|
| RMSE | size | RMSE | size | RMSE | size | RMSE | size | |
| 1 | 1.33 ± 0.92 | 413.69 | 1.39 ± 0.95 | 198.31 | 1.33 ± 0.79 | 90.18 | 1.46 ± 1.00 | 50.49 |
| 2 | 1.34 ± 0.85 | 341.08 | 1.37 ± 0.85 | 163.12 | 1.39 ± 0.95 | 72.79 | 1.48 ± 0.96 | 39.96 |
| 3 | 1.34 ± 0.89 | 279.19 | 1.41 ± 0.99 | 132.43 | 1.47 ± 0.96 | 57.36 | 1.55 ± 1.11 | 30.63 |
| 5 | 1.37 ± 0.90 | 176.79 | 1.51 ± 1.10 | 78.03 | 1.80 ± 1.36 | 30.58 | 2.60 ± 3.86 | 16.33 |
| 7 | 1.51 ± 1.12 | 106.59 | 2.02 ± 2.95 | 43.18 | 3.68 ± 7.24 | 17.17 | 5.46 ± 9.36 | 10.35 |
| 10 | 1.59 ± 1.12 | 42.46 | 2.97 ± 6.87 | 17.31 | 5.65 ± 10.48 | 9.3 | 7.95 ± 11.20 | 7.26 |
| 13 | 1.89 ± 3.07 | 19.55 | 3.66 ± 8.17 | 9.79 | 7.37 ± 11.96 | 7.06 | 10.59 ± 13.58 | 6.33 |
| 15 | 2.10 ± 4.12 | 12.51 | 4.20 ± 9.24 | 7.7 | 7.36 ± 10.75 | 6.41 | 11.52 ± 13.09 | 6.03 |
| 17 | 3.27 ± 7.31 | 9.31 | 6.02 ± 10.85 | 6.77 | 9.41 ± 12.51 | 6.09 | 13.24 ± 14.38 | 5.87 |
| 19 | 5.43 ± 10.23 | 7.52 | 8.07 ± 12.37 | 6.28 | 13.04 ± 14.14 | 5.91 | 15.62 ± 14.14 | 5.77 |
| 21 | 8.94 ± 13.11 | 6.68 | 11.03 ± 13.47 | 6.02 | 15.15 ± 14.04 | 5.79 | 17.96 ± 14.17 | 5.7 |
| 23 | 11.25 ± 13.83 | 6.27 | 13.87 ± 14.35 | 5.87 | 17.11 ± 14.06 | 5.72 | 20.68 ± 13.42 | 5.66 |
| 25 | 13.86 ± 14.24 | 6.04 | 16.83 ± 14.29 | 5.78 | 19.81 ± 13.43 | 5.68 | 23.01 ± 12.44 | 5.63 |
| 30 | 21.72 ± 13.09 | 5.78 | 23.96 ± 11.57 | 5.67 | 25.81 ± 10.92 | 5.62 | 26.53 ± 10.57 | 5.59 |
HiDURPA dataset H.266
| QP | H.266 1080p | H.266 720p | H.266 480p | H.266 360p | ||||
|---|---|---|---|---|---|---|---|---|
| RMSE | size | RMSE | size | RMSE | size | RMSE | size | |
| 1 | 1.35 ± 0.92 | 447.01 | 1.35 ± 0.90 | 165.44 | 1.35 ± 0.84 | 68.79 | 1.39 ± 0.98 | 34.94 |
| 2 | 1.34 ± 0.89 | 445.21 | 1.34 ± 0.91 | 164.65 | 1.33 ± 0.84 | 68.51 | 1.39 ± 0.88 | 34.81 |
| 3 | 1.33 ± 0.85 | 441.89 | 1.36 ± 0.91 | 163.1 | 1.36 ± 0.83 | 67.91 | 1.82 ± 2.87 | 34.53 |
| 5 | 1.36 ± 0.91 | 422.34 | 1.39 ± 0.96 | 154.86 | 1.33 ± 0.78 | 64.06 | 1.49 ± 1.05 | 32.07 |
| 7 | 1.37 ± 0.96 | 359.56 | 1.38 ± 0.91 | 131.68 | 1.43 ± 0.96 | 52.8 | 1.65 ± 1.22 | 25.27 |
| 10 | 1.40 ± 0.89 | 159.01 | 1.60 ± 1.11 | 60.1 | 3.03 ± 5.82 | 22.96 | 5.04 ± 9.36 | 11.65 |
| 13 | 1.50 ± 1.06 | 68.49 | 1.98 ± 2.90 | 24.33 | 4.73 ± 8.58 | 11.17 | 6.97 ± 10.59 | 7.99 |
| 15 | 1.55 ± 1.28 | 37.19 | 2.06 ± 2.56 | 14.03 | 5.32 ± 8.87 | 8.71 | 7.23 ± 10.38 | 7.26 |
| 17 | 1.70 ± 1.29 | 17.99 | 2.79 ± 4.98 | 9.53 | 5.83 ± 8.71 | 7.52 | 8.11 ± 11.02 | 6.77 |
| 19 | 1.89 ± 2.27 | 11.65 | 3.27 ± 5.75 | 8.23 | 7.12 ± 10.59 | 7.05 | 8.86 ± 11.23 | 6.51 |
| 21 | 2.85 ± 5.42 | 9.63 | 4.97 ± 8.57 | 7.75 | 8.17 ± 11.31 | 6.82 | 9.26 ± 11.58 | 6.37 |
| 23 | 4.44 ± 7.41 | 8.51 | 6.60 ± 9.86 | 7.28 | 8.75 ± 10.84 | 6.57 | 10.25 ± 12.24 | 6.22 |
| 25 | 7.63 ± 10.28 | 7.76 | 8.42 ± 10.84 | 6.91 | 10.42 ± 12.15 | 6.36 | 11.74 ± 13.07 | 6.08 |
| 30 | 9.75 ± 11.68 | 6.77 | 10.36 ± 11.97 | 6.32 | 11.69 ± 12.76 | 6.02 | 12.59 ± 12.13 | 5.87 |
HiDURPA dataset AV1
| QP | AV1 1080p | AV1 720p | AV1 480p | AV1 360p | ||||
|---|---|---|---|---|---|---|---|---|
| RMSE | size | RMSE | size | RMSE | size | RMSE | size | |
| 1 | 1.65 ± 1.62 | 214.85 | 5.02 ± 7.72 | 51.09 | 13.80 ± 12.55 | 23.74 | 13.55 ± 12.86 | 13.58 |
| 2 | 1.85 ± 2.87 | 129.51 | 8.72 ± 11.79 | 34.34 | 17.24 ± 12.78 | 15.41 | 16.77 ± 13.18 | 10.46 |
| 3 | 2.32 ± 4.02 | 75.17 | 12.79 ± 12.80 | 20.22 | 18.99 ± 12.50 | 10.41 | 19.50 ± 12.11 | 8.16 |
| 4 | 2.79 ± 5.90 | 48.45 | 14.16 ± 12.86 | 14.01 | 19.13 ± 12.14 | 8.61 | 20.83 ± 11.75 | 7.26 |
| 5 | 4.10 ± 7.70 | 29.93 | 17.25 ± 13.04 | 10.65 | 21.16 ± 11.79 | 7.56 | 21.61 ± 11.52 | 6.69 |
| 6 | 5.01 ± 8.72 | 21.38 | 18.03 ± 12.65 | 9.3 | 21.80 ± 11.72 | 7.1 | 22.24 ± 11.42 | 6.45 |
| 7 | 6.20 ± 10.07 | 15.56 | 19.77 ± 12.20 | 8.18 | 22.26 ± 11.42 | 6.68 | 22.73 ± 11.00 | 6.22 |
| 8 | 7.77 ± 11.17 | 12.84 | 20.76 ± 11.52 | 7.69 | 22.21 ± 11.40 | 6.5 | 22.84 ± 10.98 | 6.13 |
| 9 | 10.02 ± 12.16 | 10.6 | 21.34 ± 11.62 | 7.2 | 22.80 ± 11.32 | 6.32 | 23.10 ± 11.22 | 6.03 |
| 10 | 11.58 ± 12.56 | 9.54 | 22.71 ± 11.32 | 6.99 | 23.05 ± 11.09 | 6.24 | 23.12 ± 11.18 | 5.98 |
UBFC1 dataset H.264
| QP | H.264 480p | H.264 360p | ||
|---|---|---|---|---|
| RMSE | size | RMSE | size | |
| 1 | 3.65 ± 6.70 | 395.28 | 3.49 ± 6.41 | 243.09 |
| 2 | 4.04 ± 8.03 | 356.77 | 3.25 ± 5.53 | 220.05 |
| 3 | 3.52 ± 6.57 | 316.54 | 3.86 ± 7.90 | 196.21 |
| 5 | 3.92 ± 7.83 | 239.44 | 3.96 ± 7.61 | 149.24 |
| 7 | 3.74 ± 6.47 | 166.96 | 3.66 ± 6.08 | 101.54 |
| 10 | 4.27 ± 7.91 | 79.79 | 4.39 ± 7.65 | 42.75 |
| 13 | 5.13 ± 8.35 | 32.95 | 6.30 ± 9.93 | 15.53 |
| 15 | 4.31 ± 7.70 | 19.87 | 5.24 ± 8.13 | 9.15 |
| 17 | 6.14 ± 9.10 | 9.97 | 8.69 ± 11.12 | 4.58 |
| 19 | 13.07 ± 13.09 | 4.73 | 19.59 ± 15.67 | 2.38 |
| 21 | 8.56 ± 11.34 | 3.42 | 11.45 ± 12.77 | 1.8 |
| 23 | 11.53 ± 12.52 | 2.04 | 15.62 ± 14.38 | 1.18 |
| 25 | 22.37 ± 15.26 | 1.3 | 25.92 ± 16.02 | 0.8 |
| 30 | 31.24 ± 13.34 | 0.59 | 32.04 ± 13.22 | 0.39 |
UBFC1 dataset H.265
| QP | H.265 480p | H.265 360p | ||
|---|---|---|---|---|
| RMSE | size | RMSE | size | |
| 1 | 3.75 ± 7.70 | 323.32 | 3.97 ± 7.87 | 197.44 |
| 2 | 3.61 ± 6.56 | 280.29 | 3.95 ± 7.31 | 171.24 |
| 3 | 3.93 ± 7.64 | 240.49 | 3.68 ± 6.56 | 146.34 |
| 5 | 3.82 ± 6.84 | 172.73 | 4.37 ± 7.84 | 102.24 |
| 7 | 4.19 ± 7.73 | 114.52 | 4.25 ± 7.64 | 63.28 |
| 10 | 5.17 ± 8.55 | 48.66 | 6.43 ± 9.07 | 21.99 |
| 13 | 7.66 ± 11.20 | 17.24 | 11.20 ± 13.08 | 6.64 |
| 15 | 9.49 ± 12.55 | 7.9 | 15.11 ± 15.08 | 3.4 |
| 17 | 10.54 ± 11.61 | 4.01 | 18.63 ± 17.26 | 1.98 |
| 19 | 14.60 ± 14.55 | 2.25 | 23.34 ± 18.17 | 1.25 |
| 21 | 19.01 ± 16.97 | 1.39 | 26.81 ± 16.46 | 0.84 |
| 23 | 25.58 ± 16.88 | 0.92 | 28.41 ± 16.23 | 0.59 |
| 25 | 28.45 ± 15.46 | 0.65 | 28.90 ± 15.75 | 0.44 |
| 30 | 31.10 ± 13.99 | 0.34 | 31.51 ± 13.17 | 0.25 |
UBFC1 dataset H.266
| QP | H.266 480p | H.266 360p | ||
|---|---|---|---|---|
| RMSE | size | RMSE | size | |
| 1 | 3.39 ± 4.96 | 253.54 | 3.62 ± 6.10 | 159.44 |
| 2 | 3.45 ± 4.98 | 252.62 | 3.86 ± 6.31 | 158.79 |
| 3 | 3.79 ± 6.40 | 250.28 | 3.66 ± 6.15 | 157.07 |
| 5 | 3.47 ± 5.16 | 236.58 | 4.12 ± 7.53 | 146.52 |
| 7 | 3.67 ± 7.20 | 205.26 | 4.20 ± 7.42 | 121.94 |
| 10 | 3.90 ± 6.81 | 117.18 | 4.69 ± 7.77 | 58.53 |
| 13 | 6.82 ± 9.08 | 57.39 | 11.25 ± 12.68 | 23.77 |
| 15 | 9.21 ± 11.83 | 32.64 | 13.50 ± 14.21 | 12.3 |
| 17 | 13.45 ± 13.53 | 15.4 | 16.34 ± 14.32 | 6.27 |
| 19 | 15.27 ± 13.94 | 8.29 | 17.73 ± 14.42 | 4.43 |
| 21 | 17.58 ± 14.04 | 5.89 | 17.43 ± 13.54 | 3.72 |
| 23 | 19.41 ± 14.23 | 4.45 | 18.92 ± 13.88 | 3 |
| 25 | 19.83 ± 13.69 | 3.47 | 20.78 ± 13.24 | 2.43 |
| 30 | 20.90 ± 13.56 | 2.1 | 21.20 ± 12.92 | 1.53 |
UBFC1 dataset AV1
| QP | AV1 480p | AV1 360p | ||
|---|---|---|---|---|
| RMSE | size | RMSE | size | |
| 1 | 4.15 ± 7.34 | 163.84 | 5.60 ± 8.83 | 72.97 |
| 2 | 5.57 ± 8.49 | 91.62 | 12.67 ± 12.59 | 36.32 |
| 3 | 11.75 ± 11.27 | 39.49 | 21.11 ± 14.42 | 17.49 |
| 4 | 19.51 ± 13.95 | 23.83 | 25.87 ± 14.84 | 10.94 |
| 5 | 24.60 ± 14.94 | 14.71 | 26.59 ± 14.00 | 7.14 |
| 6 | 26.01 ± 14.37 | 10.52 | 28.22 ± 14.31 | 5.49 |
| 7 | 26.98 ± 14.34 | 7.32 | 28.09 ± 14.42 | 4 |
| 8 | 28.83 ± 14.28 | 5.81 | 29.28 ± 13.79 | 3.31 |
| 9 | 28.00 ± 14.27 | 4.47 | 29.42 ± 13.79 | 2.62 |
| 10 | 29.08 ± 14.03 | 3.81 | 29.92 ± 13.17 | 2.28 |
Figures – rPPG Performance (median RMSE and interquatil ranges) over multiple QPs
HiDURPA: Performance by codec — resolution as separate lines
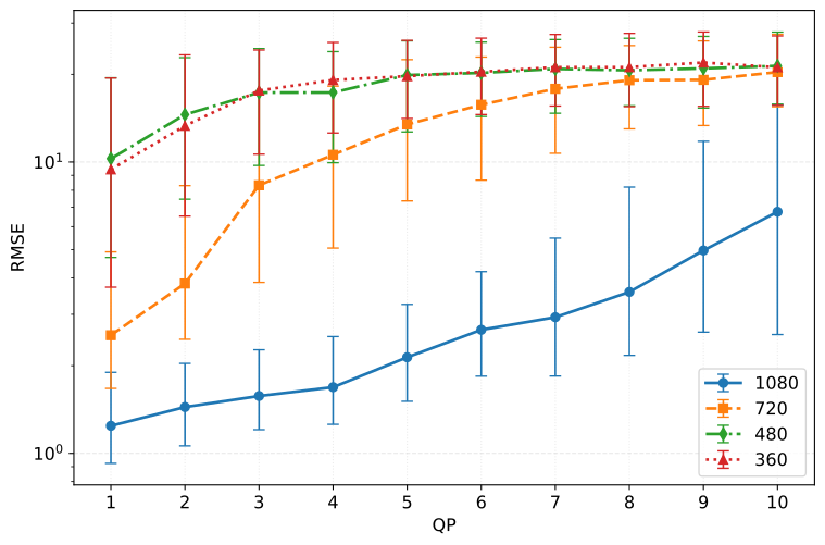
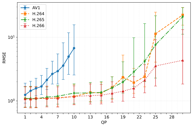
HiDURPA dataset AV1 performance at multiple resolutions

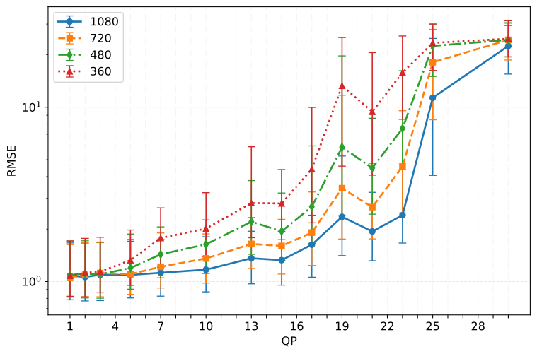
HiDURPA dataset H264 performance at multiple resolutions

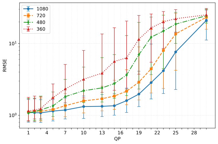
HiDURPA dataset H.265 performance at multiple resolutions

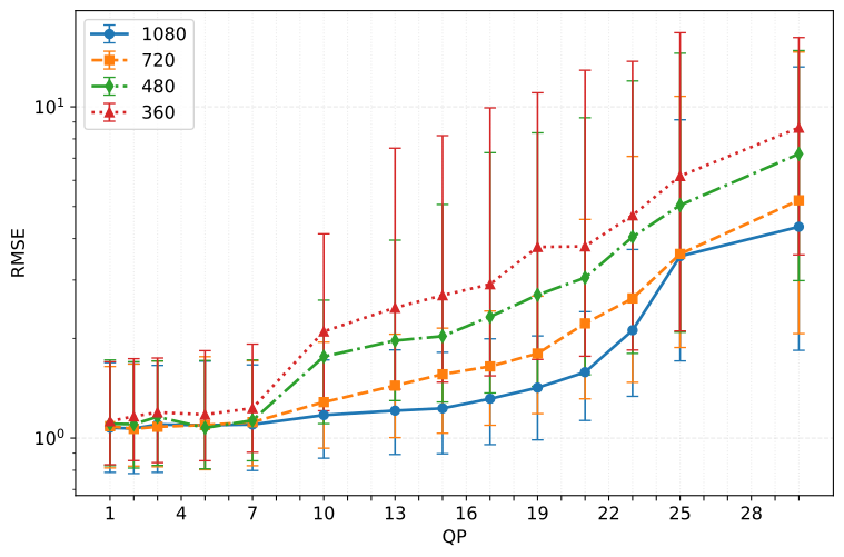
HiDURPA dataset H.266 performance at multiple resolutions

UBFC1: Performance by codec — resolution as separate lines
UBFC1 dataset AV1 performance at multiple resolutions

UBFC1 dataset H.264 performance at multiple resolutions

UBFC1 dataset H.265 performance at multiple resolutions

UBFC1 dataset H.266 performance at multiple resolutions

HiDURPA: Performance by resolution — codecs as separate lines
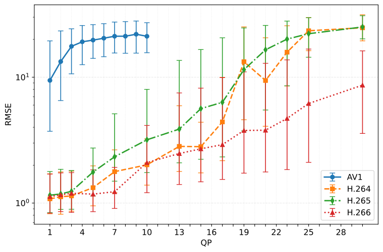
HiDURPA dataset 1080p performance at multiple codecs

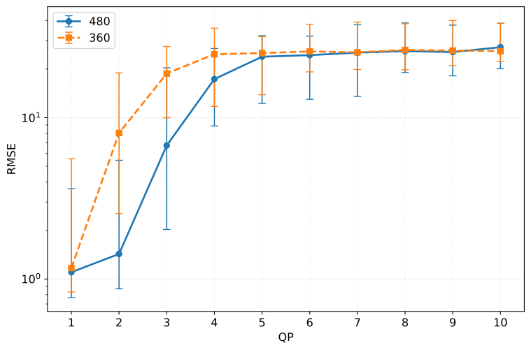
HiDURPA dataset 360p performance at multiple codecs

UBFC1: Performance by resolution — codecs as separate lines
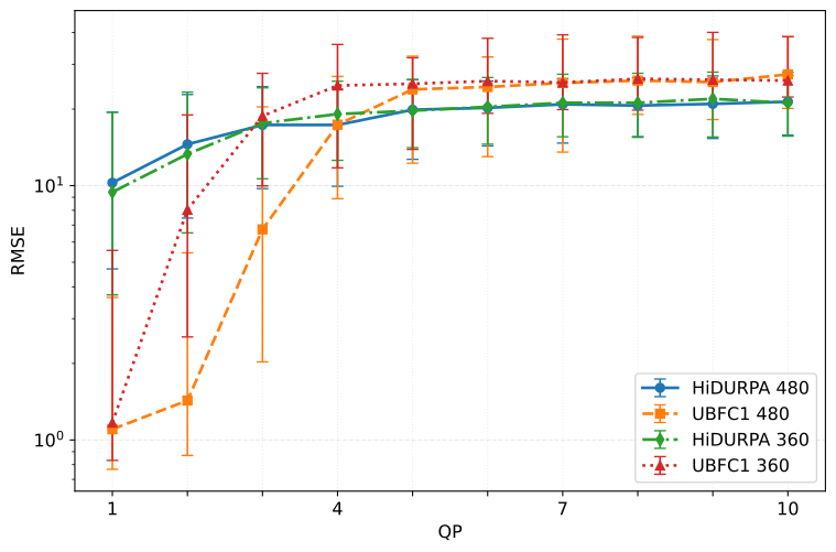
UBFC1 dataset 480p performance at multiple codecs

UBFC1 dataset 360p performance at multiple codecs

UBFC1 vs. HiDURPA: Performance by codec — resolutions as separate lines
UBFC1 vs. HiDURPA dataset AV1 performance at multiple resolutions

UBFC1 vs. HiDURPA dataset H.264 performance at multiple resolutions

UBFC1 vs. HiDURPA dataset H.265 performance at multiple resolutions

UBFC1 vs. HiDURPA dataset H.266 performance at multiple resolutions
